
TPEE Temperature Resistance Explained: Why TPEE Material Performs in Extreme Conditions
15 March 2026
TPEE Applications in Footwear Industry: Unleashing Durability, Comfort, and Innovation with Hetroflex TPEE
28 March 2026As global industries move toward sustainability and circular manufacturing, one key question arises: Is TPEE recyclable?
For manufacturers, material engineers, and procurement specialists, understanding the recyclability of TPEE material (Thermoplastic Polyester Elastomer) is critical—not only for compliance but also for reducing costs and improving environmental performance.
In this guide, we break down the recyclability of TPEE, how it compares to other elastomers, and why Hetroflex TPEE is a smart choice for sustainable production.
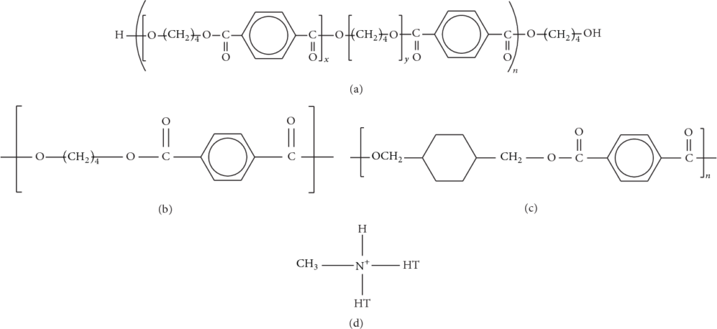
What Is TPEE Material?
TPEE (Thermoplastic Polyester Elastomer) is a high-performance engineering thermoplastic that combines:
- The flexibility of rubber
- The strength and processability of plastics
It consists of:
- Hard segments (polyester) → provide strength and heat resistance
- Soft segments (polyether or polyester) → provide elasticity
This unique structure makes TPEE widely used in:
- Automotive parts (CVJ boots, air ducts)
- Industrial hoses and tubing
- Electrical and electronic components
- Consumer goods requiring durability and flexibility

Is TPEE Recyclable?
Short Answer: Yes, TPEE Is Recyclable
Unlike thermoset rubber, TPEE material is fully recyclable because it is a thermoplastic.
Why TPEE Can Be Recycled
TPEE can be:
- Melted and reprocessed multiple times
- Re-extruded or re-injected into new products
- Reused as production scrap (regrind)
This is possible because TPEE does not undergo irreversible cross-linking, unlike traditional rubber.

How Is TPEE Recycled?
1. Mechanical Recycling (Most Common)
This is the primary method used in manufacturing environments:
Process:
- Collect production waste (sprues, runners, defective parts)
- Grind into pellets (regrind)
- Blend with virgin TPEE material
- Reprocess via injection molding or extrusion
Advantages:
- Cost-effective
- Easy to implement
- Minimal performance loss (if controlled properly)
2. Post-Industrial Recycling (PIR)
- Clean industrial scrap is reused internally or sold to recyclers
- Maintains relatively high material quality
3. Post-Consumer Recycling (PCR)
More challenging due to:
- Material contamination
- Sorting difficulties
However, with improved recycling systems, PCR TPEE is becoming more feasible.
Recyclability vs Other Materials
| Material Type | Recyclable | Notes |
|---|---|---|
| TPEE Material | ✅ Yes | Thermoplastic, reprocessable |
| TPU | ✅ Yes | Similar recyclability |
| Rubber (Thermoset) | ❌ No | Cannot be remelted |
| PVC | ⚠️ Limited | Environmental concerns |
👉 Key Insight:
TPEE offers a strong balance of performance + recyclability, making it superior to many traditional elastomers.
Does Recycling Affect TPEE Performance?
Yes—but it can be controlled.
Potential Impacts:
- Slight reduction in mechanical strength
- Possible color variation
- Minor viscosity changes
Best Practices:
- Use controlled regrind ratios (typically 10–30%)
- Avoid contamination
- Maintain proper drying and processing conditions
High-quality grades like Hetroflex TPEE are engineered for stable reprocessing performance.
Environmental Benefits of TPEE Material
Using recyclable TPEE contributes to:
1. Reduced Waste
- Scrap materials can be reused instead of discarded
2. Lower Carbon Footprint
- Less reliance on virgin raw materials
3. Circular Manufacturing
- Supports closed-loop production systems
4. Regulatory Compliance
- Meets increasing global sustainability standards (EU, US, etc.)
Applications That Benefit from Recyclable TPEE
Industries that prioritize sustainability are increasingly adopting TPEE:
- Automotive → Lightweight + recyclable components
- Industrial Manufacturing → Reusable scrap materials
- Consumer Products → Eco-friendly branding
- Electronics → Durable and compliant materials
Why Choose Hetroflex TPEE?
When recyclability meets performance, Hetroflex TPEE stands out.
Key Advantages:
- ♻️ Excellent recyclability with stable reprocessing performance
- ⚙️ High mechanical strength and flexibility
- 🌡️ Superior heat and chemical resistance
- 🏭 Optimized for injection molding and extrusion
- 🌍 Global supply capability for B2B clients
Whether you are a manufacturer, distributor, or OEM, Hetroflex TPEE helps you achieve both performance goals and sustainability targets.

Conclusion
So, is TPEE recyclable?
👉 Absolutely.
As a thermoplastic elastomer, TPEE material can be efficiently recycled and reused, making it a valuable solution for modern, sustainable manufacturing.
For businesses looking to:
- Reduce material waste
- Improve cost efficiency
- Meet environmental regulations
TPEE is a future-ready material—and Hetroflex TPEE is your reliable partner.
Call to Action
Looking for high-quality, recyclable TPEE material?
👉 Contact Hetroflex TPEE today for:
- Technical data sheets
- Custom material solutions
- Global supply support


